PERS March 2015 Members - page 226

baseline lengths were calibrated using the control points as
mentioned in Step 3 of the above experimental procedures.
There are bubble cells on each of the two cameras and the
rigid base. They were used in the experiments to guarantee
a vertical baseline and zero kappa offset. The other camera
parameters were kept the same as those used in the theoreti-
cal analysis and Monte Carlo simulation. The focal length of
the surveillance camera was set to 8 mm, and the pixel sizes
for the images acquired by the surveillance camera and the
PTZ
camera were 2.5 µm and 5.3 µm, respectively. It should be
noted that the two ranges of 10 m in the indoor environment
and 40 m in the outdoor environment were chosen due to
limitations such as difficulties in establishing control net-
works with longer ranges. However, the results derived from
these experiments can be applied to longer ranges.
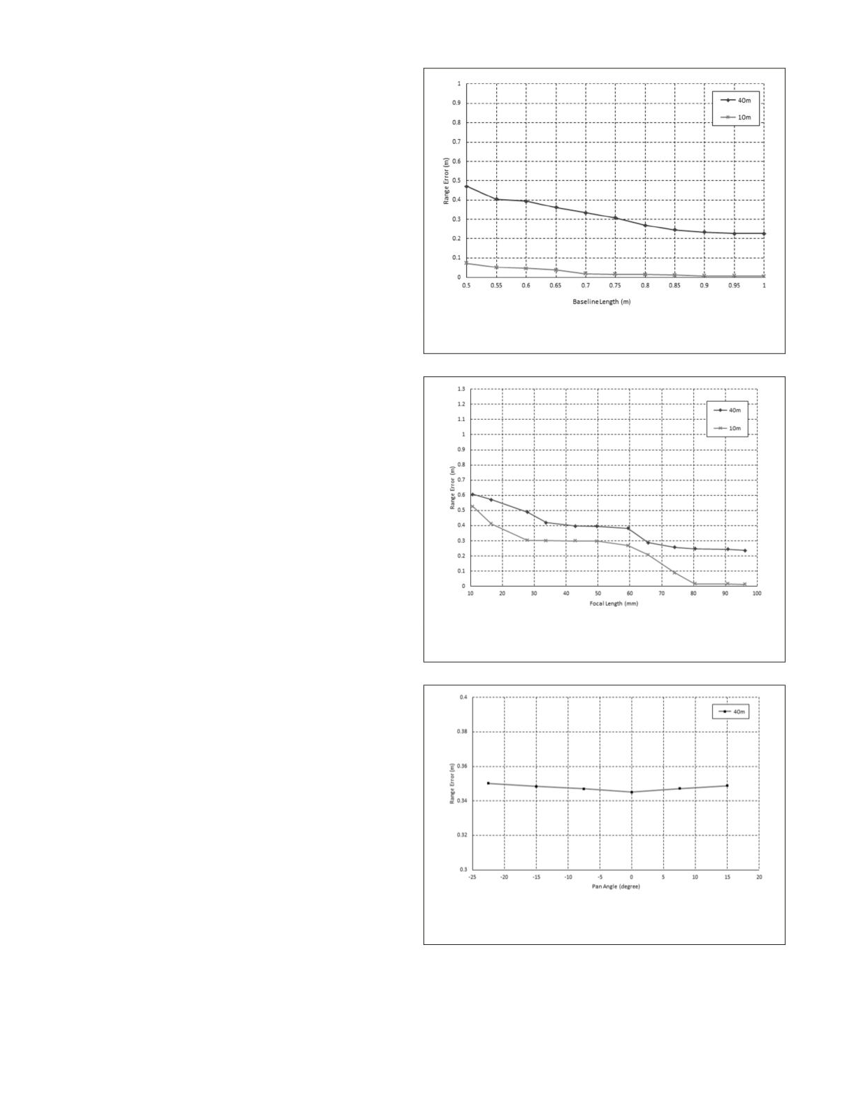
Figure 9 shows the influence of baseline length on mea-
surement error at ranges of 10 m and 40 m. The measurement
accuracies attainable at these two ranges were relatively
worse than those predicted by theoretical analysis and Monte
Carlo simulation, especially at short baseline lengths. The
trends between them are consistent. For the experiments at
the range of 40 m, the differences between them range from
about 3 cm (at 1 m baseline) to 9 cm (at 0.5 m baseline). This
is consistent with the theoretical derivation that longer base-
line will result in less range errors as indicated by Equation
5. The distribution curves of the measurement accuracy as
illustrated in Figure 9 are more fluctuant than the curves for
the theoretical analysis and Monte Carlo simulation, which
can be explained by unavoidable uncertainties in experimen-
tal measurements.
The change of the
PTZ
camera focal length is controlled
by a zoom motor through a computer program, and it is not
possible to directly set an accurate focal length. Instead, para-
metric settings (e.g., 100, 200, …, 1000) were used to control
the zoom motor. Therefore, we calibrated the accurate focal
lengths of the
PTZ
camera at several zoom motor settings, and
used these settings in the experiments. The focal lengths used
were 10.70 mm, 16.54 mm, 27.89 mm, 33.74 mm, 42.88 mm,
49.64 mm, 59.39 mm, 65.75 mm, 74.11 mm, 80.45 mm, 90.81
mm, and 96.22 mm, which are generally consistent with those
used in the theoretical analysis and Monte Carlo simulation.
Figure 10 shows the influence of the focal length of the
PTZ
camera on the measurement error at ranges of 10 m and 40 m.
The attainable measurement accuracies were worse than
those predicted by the theoretical analysis and Monte Carlo
simulation results at the range of 40 m, as shown in Figure
10. At a range of 10 m, the experimental results were much
worse than the predicted results at short
PTZ
camera focal
lengths, but the accuracy improved when the focal length was
increased to 80 mm. These large errors may be due to the rela-
tively large uncertainties in image coordinate measurement of
targets at short ranges when compared to those at long ranges.
In experiments at both long and short range, increasing the
PTZ
camera focal length up to a length of 80 mm notably im-
proved the accuracy. However, in the theoretical analysis and
Monte Carlo simulation results, there was almost no notable
improvement in accuracy when the
PTZ
camera focal length
exceeded 40 mm at a range of 40 m, which may be due to the
increased uncertainties involved in practical experiments.
Only the outdoor experiment with a range of 40 m was
conducted to examine the relationship between
PTZ
camera
pan angle and measurement error. This relationship had been
shown by theoretical analysis and Monte Carlo simulation
to be negligible at shorter ranges. It should be noted that due
to lidar point cloud coverage, the
PTZ
camera pan angle was
adjusted between −22.5° and 15°, which is smaller than the
range used in the theoretical analysis and Monte Carlo simu-
lation. The results of this experiment are shown in Figure 11.
From Figure 11 it can be seen that the attainable measure-
ment accuracies at different pan angles of the
PTZ
camera are
relatively worse than those in the theoretical analysis and
Monte Carlo simulation at a range of 40 m, but that the trends
between them are consistent.
Figure 9. Range measurement error with respect to baseline
length from indoor and outdoor experiments.
Figure 10. Range measurement error at different
ptz
camera
focal lengths in indoor and outdoor experiments.
Figure 11. Range measurement error at different
ptz
camera
pan angles from outdoor experiments.
226
March 2015
PHOTOGRAMMETRIC ENGINEERING & REMOTE SENSING
167...,216,217,218,219,220,221,222,223,224,225 227,228,229,230,231,232,233,234,235,236,...254
Powered by FlippingBook