PE&RS August 2015 - page 672

Analysis: Spectral Signatures
Detailed spectral analysis was performed for development of
classification decision rules. Grids 982 to 983 reference data
was used as a training set to produce spectral signatures of all
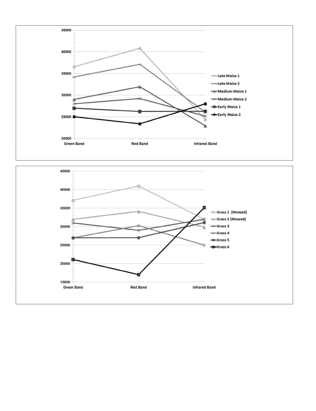
agriculture land covers. The spectral signatures of “maize” in
grid 982 to 983 are plotted in Figure 5. Variation in maize was
due to alternate times of sowing and growth of crop. Mean
reflectance values of maize were observed to cluster from
23,000 to 28,000 in the NIR band.
Grasslands have the most within-class variation besides
maize. Some mowed grasslands having NIR mean values be-
tween 25,000 to 30,000 exhibited a spectral response similar
to late maize (Figure 6). Variation in grassland signatures
resulted from different grassland harvesting time. The spectral
response of the remaining crops in grid 982 revealed that apart
from rye, all the crops have a high spectral response in NIR
compared to maize (compare Figures 5 and 7). In addition, the
difference between the NIR and Red band is highly significant.
Classification Rules Development
Spectral analysis showed that some maize regions had spec-
tral characteristics similar to those of mowed grassland, while
few maize areas such as medium maize resembled spec-
tral responses of rye. From the classification point of view,
it was not possible to discriminate maize from rest of the
crops with high level of accuracy. It was due to within-class
variation of maize, rye, and grasslands. Therefore, to narrow
down the problem, maize was divided into three subcatego-
ries primarily on the basis of their spectral response: early
Figure 5. Spectral signatures of maize in grid 982 to 983. X-axis NIR, Red and Green channels data is plotted whereas mean reflection
response comprising 16-bit data are plotted on Y-axis.
Figure 6. Spectral signatures of grassland. X-axis NIR, Red and Green channels data is plotted whereas mean reflection response com-
prising 16-bit data are plotted on Y-axis.
672
August 2015
PHOTOGRAMMETRIC ENGINEERING & REMOTE SENSING
599...,662,663,664,665,666,667,668,669,670,671 673,674,675,676,677,678,679,680,681,...682
Powered by FlippingBook